
Husketeknikken som hjelper deg på eksamen
Hukommelsekspert Oddbjørn By deler sine beste teknikker for å huske pensum mer effektivt. Med enkle øvelser og smarte strategier kan du lagre viktig informasjon bedre – og unngå jernteppe på eksamen.
Oddbjørn By er “hukommelsesutøver”, forfatter av Memo-bøkene og tidligere finalist i «Norske Talenter», der han blant annet har memorert 16 ulike kortstokker. Her gir han sine beste tips til å trene opp hukommelsen, slik at du husker det du må på eksamen.
– På universitetet ble jeg interessert i hvordan spesielle teknikker kan gjøre deg i stand til å huske mye på kort tid. Etterhvert utarbeidet jeg Memo, en kombinasjon av antikke husketeknikker, noen selvlagde teknikker og teknikker jeg lærte under VM i hukommelse.
God hukommelse er ikke medfødt, men et resultat av gode teknikker
– Når du skal huske mye er det lurt å ha en lagringsplass. Hus og bygninger du kjenner godt er en del av langtidshukommelsen. Da jeg husket 16 kortstokker på Norske Talenter, “lagret” jeg derfor én kortstokk i en bank, der jeg tidligere har hatt sommerjobb. En annen kortstokk lagret jeg i huset til onkelen min, forklarer han.
Test deg selv med denne øvelsen:
- Tenk på huset til foreldrene dine. I hagen ser du et ark og en trapp. Se det for deg nå. Lukk gjerne øynene. Utenfor inngangsdøra ser du et bur. Inni buret er det appelsin og banan. I gangen ser du et gangfelt og en høydehopper. I stua ser du en svane, med kniv på hodet.
- Se for deg disse rare bildene én gang til. I hagen ser du ark og trapp. Utenfor døra ser du et bur med appelsin og banan. I gangen ser du gangfelt og høydehopper. I stua ser du en svane, med en kniv på hodet.
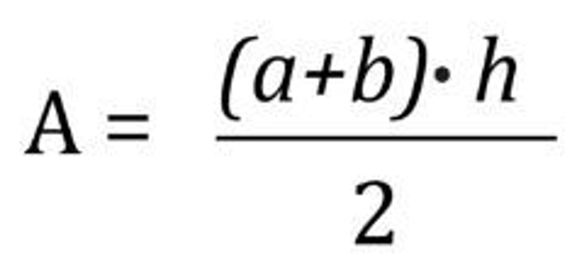
- Prøv å huske hva vi plasserte i hagen, utenfor døra, i gangen og i stua. Hvis du husket alle, så er det kjempebra! Det du memorerte nå er faktisk formelen for å huske arealet av trapes (ark og trapp):
Tilbake til huskerekken:
- Parantes ligner på et bur, og inni parantesen er det a + b (appelsin + banan).
- Deretter har vi gangfelt og høydehopper, for å huske å gange med høyde.
- Til slutt har vi en svane (som ligner på 2) med kniv på hodet.
- Kniven på hodet minner oss om å dele på to (svanen).
Slik som illustrasjonen viser:
Hvorfor bruke denne teknikken?
– For det første kan du teste hva du husker hvor som helst og når som helst. Husker du arket, trappen, buret og svanen? En slik test kan du ta dagen før eksamen. Har du en tendens til å glemme svanen, så prøv å styrke bildet av den ved å se for deg en større svane, som kanskje også bruser med vingene.
– Når noe er lagret godt på denne måten er det enklere å hente frem. Ved vanlig pugging og studering blir det sjeldent lagret godt, og da blir det vanskelig å hente fram, forklarer Oddbjørn.
Frykten for jernteppe vil forsvinne
– Jeg blir aldri sittende igjen helt blank. I ekstreme tilfeller, der man skal huske lynraskt uten repetisjon, kan det gå begge veier. Men til eksamen har vi litt mer tid, og med hukommelsesteknikker hender det i verste fall at jeg har glemt 5-10 prosent av det jeg memorerte. Det er en av de store fordelene med husketeknikker, og man vil aldri glemme absolutt alt, forsikrer Oddbjørn.
– Noen elever bruker mye tid på å ta inn informasjon ved å lese masse, men ingen tid på å hente ut informasjonen. Å huske. Tren på å “ta ut” kunnskapen! Da unngår du at eksamen blir den første gangen du gjør det, legger han til.
Ikke prøv å husk alt
– Elever kan tro de har dårlig hukommelse, men problemet er egentlig at pensum er veldig stort, i alle fag. Hvis det fantes folk som klarte å huske absolutt alt, hadde det ikke vært noe poeng med verdensmesterskap i hukommelse.
– Vi må innse at vi ikke kan huske alt. Derfor må vi finne ut hva som er essensen i faget. Å huske det viktigste gir bedre resultater, enn å prøve å huske alt.
– Kan alle få like god hukommelse som deg?
– Ingen i VM i hukommelse har spesielle medfødte egenskaper, så alle kan trene seg opp. Er du mellom 16 og 70 år, med god døgnrytme og et bra kosthold, har du et godt utgangspunkt for å huske like godt som meg, betrygger Oddbjørn.
Lurer du på noe rundt det å være privatist?

Karakterkalkulator
Regn ut dine konkurransepoeng og se dine studiemuligheter.

Gratis rådgivning
Har du spørsmål om fag eller studiekrav? Vi hjelper deg helt gratis.

Fornøydhetsgaranti
Hos oss skal alle bli fornøyde, derfor får du selvfølgelig fornøydhetsgaranti på Sonans.

Få støtte fra Lånekassen
Når du tar fag hos Sonans kan du søke om lån og stipend fra Lånekassen.